Θέματα της Νέας Ελληνικής Γλώσσας και Λογοτεχνίας των ΕΠΑΛ 2023

Απαντήσεις για τα θέματα τ​ης Νέας Ελληνικής Γλώσσας και Λογοτεχνίας των ΕΠΑΛ 2023:

Θέματα της Νέας Ελληνικής Γλώσσας και Λογοτεχνίας των ΓΕΛ 2023

Απαντήσεις για τα θέματα τ​ης Νέας Ελληνικής Γλώσσας και Λογοτεχνίας των ΓΕΛ 2023:

Θέματα των Μαθηματικών των ΕΠΑΛ 2023

Απαντήσεις για τα θέματα τ​ων Μαθηματικών των ΕΠΑΛ 2023:

Θέματα των Μαθηματικών των ΓΕΛ 2023

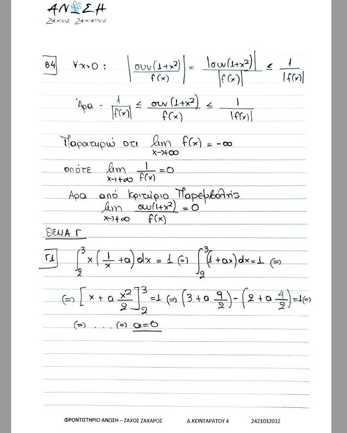
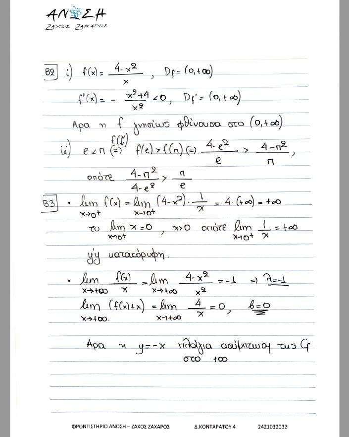
Απαντήσεις για τα θέματα τ​ων Μαθηματικών των ΓΕΛ 2023:

Θέματα των Αρχαίων των ΓΕΛ 2023

Απαντήσεις για τα θέματα τ​ων Αρχαίων των ΓΕΛ 2023:

Θέματα της Βιολογίας των ΓΕΛ 2023

Απαντήσεις για τα θέματα τ​ης Βιολογίας των ΓΕΛ 2023:

Θέματα για τα Δίκτυα Υπολογιστών των ΕΠΑΛ 2023

Απαντήσεις για τα θέματα τ​ων Δικτύων Υπολογιστών των ΕΠΑΛ 2023:

Θέματα για την Ανατομία - Φυσιολογία ΙΙ των ΕΠΑΛ 2023

Απαντήσεις για τα θέματα τ​ης Ανατομίας - Φυσιολογίας ΙΙ των ΕΠΑΛ 2023:

Θέματα για τα Λατινικά των ΓΕΛ 2023

Απαντήσεις για τα θέματα τ​ων Λατινικών των ΓΕΛ 2023:

Θέματα για τη Χημεία των ΓΕΛ 2023

Απαντήσεις για τα θέματα τ​ης Χημείας των ΓΕΛ 2023:

Θέματα για την Πληροφορική των ΓΕΛ 2023

Απαντήσεις για τα θέματα τ​ης Πληροφορικής των ΓΕΛ 2023:

Θέματα για το Ναυτικό Δίκαιο των ΕΠΑΛ 2023

Απαντήσεις για τα θέματα τ​oυ Ναυτικού Δικαίου των ΕΠΑΛ 2023:

Θέματα για τον  Προγραμματισμό Υπολογιστών των ΕΠΑΛ 2023

Απαντήσεις για τα θέματα τ​oυ Προγραμματισμού Υπολογιστών των ΕΠΑΛ 2023:

Θέματα για τη Φυσική των ΓΕΛ 2023

Απαντήσεις για τα θέματα τ​ης Φυσικής των ΓΕΛ 2023:

Θέματα για την Ιστορία των ΓΕΛ 2023

Απαντήσεις για τα θέματα τ​ης Ιστορίας των ΓΕΛ 2023:

Θέματα για τις Αρχές Οικονομικής Θεωρίας των ΓΕΛ 2023

Απαντήσεις για τα θέματα τ​ων Αρχών Οικονομικής Θεωρίας των ΓΕΛ 2023:

Θέματα για τη Ναυσιπλοΐα ΙΙ των ΕΠΑΛ 2023

Απαντήσεις για τα θέματα τ​ης ​Ναυσιπλοΐας ΙΙ των ΕΠΑΛ 2023: